开关电源的功率因数校正
作者:海飞乐技术 时间:2018-05-23 20:34
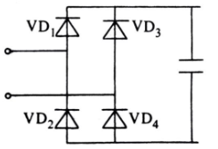
通常,开关电源的输入级采用二极管构成的不可控容性整流电路,如图1所示。这种电路的优点是结构简单、成本低、可靠性高,但致命的缺点是其输入电流不是正弦波,而是位于电压峰值附近的脉冲波,如图2所示。这种电流波形中含有大量谐波成分,因此该电路的功率因数很低,通常仅能达到0.5~0.7,总谐波含量(THD)可达100%~150%,对电网造成严重的污染。

图1 二极管容性整流电路

图2 二极管容性整流电路的输入电流
追究这一问题产生的原因,在于二极管整流电路不具有对输入电流的可控性,当电源电压高于电容电压时,二极管导通,电源电压低于电容电压时,二极管不导通,输入电流为零,这样就形成了电源电压峰值附近的电流脉冲。
解决这一问题的办法就是对电流脉冲的幅值进行抑制,使电流波形尽量接近正弦波,这一过程称为功率因数校正(Power Factor Correction——PFC)。根据采用的具体方法不同,可以分成无源功率因数校正和有源功率因数校正两种。
无源功率因数校正技术通过在二极管整流电路中增加电感、电容等无源元件和二极管,对电路中的电流脉冲进行抑制,以降低电流谐波含量,提高功率因数。图3所示为一种典型的无源功率因数校正电路。这种方法的优点是简单、可靠,无需进行控制,而缺点是增加的无源元件通常体积很大,成本也较高,并且功率因数通常仅能校正至0.95左右,而谐波含量仅能降至30%左右,难以满足现行谐波标准的要求。
图3 典型的无源功率因数校正电路
有源功率因数校正技术采用全控开关器件构成的开关电路对输入电流的波形进行控制,使之成为与电源电压同相的正弦波,总谐波含量可以降低至5%以下,而功率因数能高达0.995,从而彻底解决整流电路的谐波污染和功率因数低的问题。然而有源功率因数校正技术也存在~些缺点,如电路和控制较复杂,开关器件的高速开关造成电路中开关损耗较大,效率略低于无源功率因数校正电路等。但是由于采用有源功率因数校正技术可以非常有效地降低谐波含量、提高功率因数,从而满足现行最严格的谐波标准的要求,因此其应用越来越广泛。
值得提到的是,单相有源功率因数校正电路较为简单,仅有1个全控开关器件。该电路容易实现,可靠性也较高,因此应用非常广泛,基本上已经成为功率在0.5~3kW范围内的单相输入开关电源的标准电路形式。然而三相有源功率因数校正电路结构和控制较复杂,成本也很高,因此目前三相输入的开关电源通常还采用无源功率因数校正技术。针对三相功率因数校正技术的研究还在积极进行。
一、单相功率因数校正电路
开关电源中常用的单相PFC电路如图3所示。这一电路实际上是二极管整流电路加上升压型斩波电路构成的,下面简单介绍用斩波电路实现功率因数校正的工作原理。
由于采用升压斩波电路,当输入电压高于输出电压时,电感L的电流受开关S的通断控制,S通时,电感L的电流增长,S断时,电感L的电流下降。因此控制S的占空比按正弦绝对值规律变化,且与输入电压同相,就可以控制电感L的电流波形为正弦绝对值,从而使输入电流的波形为正弦波,且与输入电压同相,输入功率因数为1。
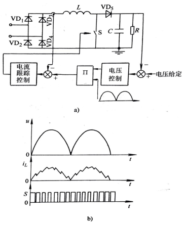
图4a中的电流跟踪控制电路使电感电流跟踪电流给定信号,而电流给定信号的波形为正弦绝对值,因此电感电流的波形也是正弦绝对值,从而实现了功率因数校正。电压控制电路根据升压斩波电路的输出电压与给定电压间的误差,调节电感电流的大小,以达到控制输出电压的目的。电压控制电路的输出信号是平稳的直流信号,用乘法器将该信号同正弦绝对值信号相乘,得到幅值跟随电压控制电路输出变化的正弦绝对值信号,作为电流跟踪环的给定信号。
图4 典型的单相有源PFC电路及主要工作波形
在有源PFC电路中,常用的电流跟踪控制方法有平均电流控制、峰值电流控制等,其中平均电流控制适用于功率为500W~3kW的PFC电路,峰值电流控制适用于功率小于500W的PFC电路。在开关电源中,采用有源PFC电路带来以下好处:
1)输入功率因数提高,输入谐波电流减小,降低了电源对电网的干扰,满足了现行谐波限制标准的要求。
2)由于输入功率因数的提高,在输入相同有功功率的条件下,输入电流有效值明显减小,降低了对线路、开关、连接件电流容量的要求。
3)由于有升压斩波电路,电源允许的输入电压范围扩大,通常可以达到90~270V,能适应世界各国不同的电网电压、极大地提高电源装置的可靠性和灵活性。
4)由于升压斩波电路的稳压作用,整流电路输出电压波动显著减小,使后级DC/DC变换电路的工作点保持稳定,有利于提高控制精度和效率。
但加入该电路会使电源总效率下降3%~5%,这是不利的影响。
下面简单介绍在单相PFC电路中常用的UC3854控制芯片。
UC3854是美国Unitrode公司设计生产的PFC专用控制集成电路,它集成了PFC电路控制所需的电压控制、平均电流跟踪控制、乘法器、驱动、保护和基准源等全部电路,使用很方便。其主要特点和技术参数如下:
电源电压:18~35V
工作频率:10~200kHz
基准源电压:7.5V
驱动电流:0.5A(平均值),1.5A(峰值)
该芯片的内部结构及构成的典型电路如图5所示。
图5 UC3854内部结构及典型电路
图中,电压放大器VA及其外部元件构成PI型电压控制电路,正弦绝对值参考信号来自主电路中整流桥输出端,通过引脚IAC送入乘法器,乘法器将电压放大器的输出信号(VA Out)与正弦绝对值参考信号(IAC)相乘,作为电流跟踪放大器CA的给定。为了提高电压控制的快速性,乘法器还将电流给定信号除以输入电压有效值的平方,这并当输入电压发生变化时,电流给定随之变化,无需经电压放大器调节,这称为前馈控制。例如,在后级功率保持恒定的条件下,输入电压突然变高,PFC的输入电流应相应减小,以保持输入功率同输出功率的平衡。如没有前馈控制,这一调节过程将由调节速度较慢的电压放大器完成,并由于调节过程中暂时的功率不平衡导致输出电压的较大幅度波动,而通过前馈控制,这一调节过程可以在瞬时完成,减小了输出电压的波动。主电路中的电流采用0.25Ω电阻检测,电流放大器CA及其外部电路构成PI型电流控制器,该控制器输出的控制量经锯齿波比较电路后形成PWM信号,由驱动电路输出,驱动主电路中的开关器件。
二、三相功率因数校正电路
三相PFC电路的形式较多,下面简单介绍具有代表性的两种。
1.三相单开关PFC电路
三相单开关PFC电路如图6所示。
图6三相单开关PFC电路
该电路是工作在电流不连续模式的升压斩波电路,连接三相输入的三个电感LA~LC的电流在每个开关周期内都是不连续的,电路中的二极管都应采用快速恢复二极管,电路的输出电压应高于输入线间电压峰值方能正常工作。该电路工作时的原理性波形如图7b所示。
图7 三相单开关PFC电路的工作原理
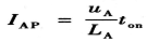
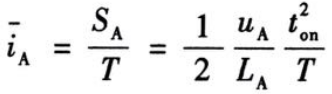
当S开通后、连接三相的电感电流值均从零开始线性上升(正向或负向),直到开关S关断,S关断后,三相电感电流通过VD7向负载侧流动,并迅速下降到零。在每一个开关周期中,电感电流是三角形或接近三角形的电流脉冲,那么在输入电源的一个周期内,线电流的波形是什么样的呢,以iA为例,如图7b,当S导通期间,即t=0~ton,iA线性上升,当S关断时达到峰值IAP。假设开关频率较高,在一个开关周期内,A相输入电压uA变化很小,变化量可以忽略,则可得到IAP的表达式如下:
如果在输入电源周期内,ton保持不变,则开关周期内电流iA的平均值iA的波形跟随输入电源电压uA的波形,因此iA的波形是正弦波。
在分析中略去了图7b中非阴影部分的电流,因此实际的iA的波形同正弦波相比有些畸变。可以想象,如果输出直流电压很高,则开关S关断后电流下降就很快,被略去的电流面积就很小,则iA的波形同正弦波的近似程度高,其波形畸变小。因此对于三相380V输入的单开关PFC电路,其输出电压通常高于800V,这时,其输入功率因数可达0.98以上,输入电流谐波含量小于20%,完全可以满足现行谐波标准的要求。
由于该电路工作于电流断续模式,电路中电流峰值高,开关器件的通态损耗和开关损耗都很大,因此适用于3~6kW的中小功率电源中。
2.三相6开关PFC电路
通常被称为三相PWM整流电路或单位功率因数变流电路。该电路的结构如图8所示。
图8 三相6开关PFC电路
在这一电路中,同相上下两开关的通、断互补,并留有死区。电感LA的电流可由开关S1、S2的通断控制,因此通过适当的调制S1、S2的占空比,就可以使A相电流跟踪A相电压。同样,B、C相的电流也跟踪B、C相电压,这样就实现了功率因数校正。该电路仍属于升压型电路,所以输出电压应高于输入线电压峰值。采用这一电路,输入电流谐波含量可降低至5%以下,功率因数可高于0.995。可以满足未来最严格的谐波标准的要求。
这种电路性能优越,但所需开关数较多,且控制复杂,电路成本高,因此适用于容量为5~10kW的大功率电源,或对谐波及功率因数要求非常苛刻的电源中。
三、软开关功率因数校正电路
PFC电路虽然解决了输入电流谐波和功率因数的问题,但降低了电源的总效率,这是人们所不希望的。PFC电路的损耗中很大一部分是开关器件的开关损耗,因此出现了采用软开关技术的PFC电路,这些电路成功地降低了开关损耗,提高了PFC电路的效率,有些已经得到广泛应用。下面就简单介绍其中应用最多的ZVT PWM软开关PFC电路和ZCT PWM软开关PFC电路。
1.单相ZVT PWM软开关PFC电路
电路结构如图9所示。
图9 ZVT PWM软开关单相PFC电路
该电路中S1、Lr、VD6等元器件构成辅助谐振网络,使主开关S工作在零电压开通的条件下,显著减小了开关损耗。采用该技术可以使单相PFC电路的效率由硬开关方式的95%提高到98%,效果是很明显的。2.三相单开关ZCT PWM软开关PFC电路
电路结构如图10所示。
图10 三相单开关ZCT PWM软开关PFC电路
该电路中S1、Lr,、Cr等元件构成辅助谐振电路,使主开关S工作在零电流关断的条件下。由于三相单开关PFC电路中主开关器件关断电流峰值很高,承受的电压也很高,主开关器件常采用IGBT,因此关断损耗通常较大,采用零电流关断技术后,电路效率会明显提高,可达95%-97%。上一篇:快恢复二极管TO-220封装尺寸 技术详解
下一篇:开关器件的热设计和结构设计

